集合与逻辑
基础知识
集合的定义
集合:
某些指定的对象集在⼀起就形成⼀个集合(简称集)。
元素:集合中每个对象叫做这个集合的元素。
集合的三要素:
确定性:集合内的元素是可以被确定的。
互异性:集合内的各元素都是唯⼀不重复的。
⽆序性:集合内的各元素的顺序是没有限制的。
子集与空集:
子集:A \subseteq B 或 B \supseteq A,表示 A 中的任意元素都属于 B
A \subseteq A, \varnothing \subseteq A
A \subseteq B 且 B \subseteq C \implies A \subseteq C
A \subseteq B 且 B \subseteq A \implies A=B
真子集:A \subsetneqq B 或 B \supsetneqq A,表示 A \subseteq B 且 B 中至少有一元素不属于 A
A \subsetneqq B 且 B \subsetneqq C \implies A \subsetneqq C
空集(\varnothing)是任何集合的子集,是任何非空集合的真子集。
有 n 个元素的集合,有 2^n 个子集,2^n-1 个真子集,2^n-1 个非空子集,2^n-2 个非空真子集。
空集只有一个子集,没有真子集、非空子集、非空真子集。
集合的表示:
列举法:\{a,b\}(a\neq b)。
描述法:\{x\mid x=f(t), p(t)\}。
符号法:\R 实数集,\C 复数集,\Q 有理数集,\N 自然数集,\Z 整数集,\P 质数集。右上角加星号(*)表示去零,右下角加正、负号表示取正、负。
图示法:Venn(维恩)图。
集合的运算
表示某一元素属于某个集合时,用 \in,例如 1 \in \{1, 2, 3\}。若不属于则用 \notin。
并集:A = \{2, 3, 4\}, B = \{1, 2, 3\}, A \cup B = \{1, 2, 3, 4\}。
交集:A = \{2, 3, 4\}, B = \{1, 2, 3\}, A \cap B = \{2, 3\}。
补集:U = \{1, 2, 3\}, A \subseteq U, 若 A = \{1\}, 则 \complement_U A = \{2, 3\}。
交换律:
A \cap B = B \cap A, A \cup B = B \cup A
结合律:
A \cup (B \cup C) = (A \cup B) \cup C, A \cap (B \cap C) = (A \cap B) \cap C
分配对偶律:
A \cap (B \cup C) = (A \cap B) \cup (A \cap C), A \cup (B \cap C) = (A \cup B) \cap (A \cup C)
德摩根定律:
\complement_U(A\cap B)=(\complement_UA)\cup(\complement_UB)
\complement_U(A\cup B)=(\complement_UA)\cap(\complement_UB)
推广到多个集合中:
\complement_U(A_1 \cap A_2 \cap \cdots \cap A_n) = (\complement_U A_1) \cup (\complement_U A_2) \cup \cdots \cup (\complement_U A_n)
\complement_U(A_1 \cup A_2 \cup \cdots \cup A_n) = (\complement_U A_1) \cap (\complement_U A_2) \cap \cdots \cap (\complement_U A_n)
容斥原理:
|A\cup B|=|A|+|B|-|A\cap B|
等价转化:
A\cup B=B \iff A\subseteq B
A\cap B=A \iff A\subseteq B
A\cup B=A\cap B \iff A=B
命题与量词
命题:
原命题:若 p 则 q。
逆命题:若 q 则 p。
否命题:若非 p 则非 q。
逆否命题:若非 q 则非 p。
容易知道,原命题与逆否命题同真同假,互为充要条件。
| 量词 | 命题 | 否命题 |
|---|---|---|
| 全称量词 | \forall x\in M,p(x) | \exist x\in M,\neg p(x) |
| 存在量词 | \exist x\in M,p(x) | \forall x\in M,\neg p(x) |
序理论
序理论是利用二元关系来将「次序」这一概念严格化的数学分支,下面将介绍这一分支的基本定义。
二元关系
集合 X 和集合 Y 上的一个二元关系(binary relation)R 定义为元组 (X,Y,G(R)),其中 X 称为定义域(domain),Y 称为陪域(codomain),G(R)\subseteq X\times Y=\{(x,y):x\in X,y\in Y\} 称为二元关系 R 的图(graph)。xRy 成立当且仅当 (x,y)\in G(R)。
若 X=Y,则称该二元关系为齐次二元关系(homogeneous relation)或内关系(endorelation)。若没有特别说明,下文中的二元关系均为齐次二元关系。例如 \mathbf{N}_+ 上的整除 \mid 和小于等于 \leq 均为二元关系。
我们研究二元关系时,往往会关注其是否具有一些特别的性质。对集合 S 上的二元关系 R,我们定义如下特殊性质:
- 自反性(reflexive):(\forall~a \in S)~~aRa,
- 反自反性(irreflexive,anti-reflexive):(\forall~a \in S)~~\lnot(aRa),
- 对称性(symmetric):(\forall~a,b \in S)~~aRb \iff bRa,
- 反对称性(antisymmetric):(\forall~a,b \in S)~~(aRb \land bRa) \implies a=b,
- 非对称性(asymmetric):(\forall~a,b \in S)~~aRb \implies \lnot(bRa),
- 传递性(transitive):(\forall~a,b,c \in S)~~(aRb \land bRc) \implies aRc,
- 连接性(connected):(\forall~a,b \in S)~~a \neq b \implies (aRb \lor bRa),
- 良基性(well-founded):(\exists~m \in S \neq \varnothing)~~(\forall~a \in S\setminus\{m\})~~\lnot(aRm)(即非空集合 S 中有极小元 m),
- 不可比的传递性(transitive of incomparability):(\forall~a,b,c \in S)~~(\lnot(aRb \lor bRa) \land \lnot(bRc \lor cRb)) \implies \lnot(aRc \lor cRa)(若 \lnot(aRb \lor bRa),则称 a 和 b 是不可比的)。
同时我们定义一些特殊的二元关系:
| 二元关系 | 自反性 | 反自反性 | 对称性 | 反对称性 | 非对称性 | 传递性 | 连接性 | 良基性 | 不可比的传递性 |
|---|---|---|---|---|---|---|---|---|---|
| 等价关系(equivalence relation) | 有 | 有 | 有 | ||||||
| 预序(preorder,quasiorder) | 有 | 有 | |||||||
| 偏序(partial order) | 有 | 有 | 有 | ||||||
| 全序(total order) | 有 | 有 | 有 | 有 | |||||
| 良序(well-order) | 有 | 有 | 有 | 有 | 有 | ||||
| 严格预序(strict preorder) | 有 | 有 | |||||||
| 严格偏序(strict partial order) | 有 | 有 | 有 | ||||||
| 严格弱序(strict weak order) | 有 | 有 | 有 | 有 | |||||
| 严格全序(strict total order) | 有 | 有 | 有 | 有 |
关系间的运算:对集合 X 和集合 Y 上的二元关系 R 和 S,我们可以定义如下运算
- R 和 S 的并 R\cup S 满足 G(R\cup S):=\{(x,y):xRy \lor xSy\}(如 \leq 是 < 和 = 的并),
- R 和 S 的交 R\cap S 满足 G(R\cap S):=\{(x,y):xRy \land xSy\},
- R 的补 \bar{R} 满足 G(\bar{R}):=\{(x,y):\lnot(xRy)\},
- R 的对偶 R^T 满足 G(R^T):=\{(y,x):xRy\}.
对集合 X 和集合 Y 上的二元关系 R 以及集合 Y 和集合 Z 上的二元关系 S,我们可以定义其复合 S\circ R 满足 G(S\circ R):=\{(x,z):(\exists~y\in Y)~~xRy\land ySz\}。
在序理论中,对偶是非常常见的概念,如上文提到的极大元与极小元对偶、上界与下界对偶、上确界与下确界对偶。对偏序集 P 和其上的偏序 \preceq,定义其 对偶(dual,opposite)偏序集 P^d 满足:x \preceq y 在 P 中成立当且仅当 y \preceq x 在 P^d 中成立。将 P 的 Hasse 图的边反转即可得到 P^d 的 Hasse 图。
偏序集
若集合 S 上的一个二元关系 \preceq 具有自反性、反对称性、传递性,则称 S 是偏序集(partially ordered set,poset),\preceq 为其上一偏序(partial order)。
若偏序 \preceq 还具有连接性,则称其为全序(total order),对应的集合称为全序集(totally ordered set)、线性序集(linearly ordered set,loset)、简单序集(simply ordered set)。
不难发现 \mathbf{N},\mathbf{Z},\mathbf{Q}、\mathbf{R} 均关于 \leq 构成全序集。
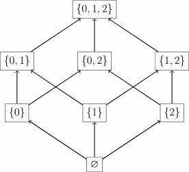
对于有限偏序集,我们可以用 Hasse 图直观地表示其上的偏序关系。对有限偏序集 S 和其上的偏序 \preceq,定义 x\prec y\iff (x\preceq y\land x\neq y) 其对应的 Hasse 图为满足如下条件的图 G=\langle V,E\rangle:
- V=S,
- E=\{(x,y)\in S\times S: x\prec y \land ((\nexists~z\in S)~~x\prec z\prec y)\}
如对于集合 \{0,1,2\} 的幂集 S 和集合的包含关系 \subseteq,其对应的 Hasse 图为:
由于偏序具有反对称性,所以 Hasse 图一定是有向无环图,进而我们可以根据拓扑排序对任意有限偏序集构造全序。
对偏序集 S 和其上的偏序 \preceq,称 S 的全序子集为链(chain)。若 S 的子集 T 中任意两个不同元素均不可比(即 (\forall~a,b \in T)~~a \neq b \implies (a \npreceq b \land b \npreceq a)),则称 T 为 反链(antichain)。
对偏序集 S 和其上的偏序 \preceq,我们将偏序集 S 的最长反链长度称为宽度(partial order width)。如对于集合 \{0,1,2\} 的幂集 S 和集合的包含关系 \subseteq,\{\varnothing,\{1\},\{1,2\}\} 为一条链,\{\{1\},\{0,2\}\} 为一条反链,S 的宽度为 3.
预序集
在预序集中,我们可以定义极大(小)元、上(下)界、上(下)确界等概念,这些概念可以推广到其他序关系中。
对预序集 S 和其上的预序 \preceq,取 S 中的元素 m:
- 若 (\forall~a \in S\setminus\{m\})~~\lnot(m\preceq a),则称 m 为极大元(maximal element),
- 若对 T \subseteq S 满足 (\forall~t\in T)~~t\preceq m,则称 m 为 T 的上界(upper bound),
- 若对 T \subseteq S 满足 m 是 T 的上界且对 T 的任意上界 n 均有 m \preceq n,则称 m 为 T 的上确界(supremum)。
类似可定义极小元(minimal element)、下界(lower bound)和下确界(infimum)。如 1 是 \mathbf{N}_+ 的极小元和下界。
可以证明:
预序集中,极大(小)元、上(下)界、上(下)确界都是不一定存在的,即使存在也不一定唯一。
若偏序集 S 的子集 T 存在上(下)确界,则一定唯一。
我们可将 T 的上确界、下确界分别记为 \sup T,\inf T. 若偏序集 S 既有上界又有下界,则称 S 是有界的。
在无限偏序集中,极大元不一定存在。可用 Zorn 引理(Zorn’s Lemma)来判断无限偏序集中是否存在极大元。
Zorn 引理也被称为 Kuratowski–Zorn 引理,其内容为:若非空偏序集的每条链都有上界,则该偏序集存在极大元。Zorn 引理与 选择公理、良序定理 等价。
有向集与格
我们知道若偏序集的子集存在上(下)确界,则一定唯一。但是这一点并不适用于极大(小)元。例如:考虑偏序集 S=\{\{0\},\{1\},\{2\},\{0,1\},\{0,2\},\{1,2\}\} 和其上的偏序 \subseteq,不难发现其有 3 个极大元和 3 个极小元。
我们希望通过向偏序集添加一定的条件来使得若极大(小)元存在则一定唯一,这样我们就可以定义最大(小)元的概念了。
对预序集 S 和其上的预序 \preceq,若 (\forall~a,b\in S)~~(\exists~c\in S)~~a\preceq c\land b\preceq c,则称 \preceq 为 S 的一个方向(direction),S 称为有向集(directed set)或过滤集(filtered set)。
有时也将满足上述定义的集合 S 称为上有向集(upward directed set),类似地可定义下有向集(downward directed set)。
有向集也可用如下方式定义:对预序集 S 和其上的预序 \preceq,若 S 的任意有限子集 T 均有上界,则称 \preceq 为 S 的一个方向,S 称为有向集。
不难发现:
- 若上有向集存在极大元,则一定唯一。我们将上有向集的极大元称为最大元(greatest element)。
- 若下有向集存在极小元,则一定唯一。我们将下有向集的极小元称为最小元(least element)。
有方向的偏序集中,对任意元素 a,b,\{a,b\} 都有上界,若将上界修改为上确界,则得到了并半格的定义。
对偏序集 S 和其上的偏序 \preceq:
若对 S 中的任意元素 a,b,\{a,b\} 均有上确界 c,则称 S 为并半格(join-semilattice,upper semilattice),并且我们称 c 为 a 和 b 的并(join),记为 a\lor b.
若对 S 中的任意元素 a,b,\{a,b\} 均有下确界 c,则称 S 为交半格(meet-semilattice,lower semilattice),并且我们称 c 为 a 和 b 的交(meet),记为 a\land b.
若 S 既是并半格也是交半格,则称 S 为格(lattice)。
例如 60 的正因子构成的集合 S=\{1,2,3,4,5,6,10,12,15,20,30,60\} 关于整除构成偏序集,其上的任意正整数 a,b,\operatorname{lcm}(a,b) 为 a 和 b 的并,\gcd(a,b) 为 a 和 b 的交,从而 S 是格。
Dilworth 定理与 Mirsky 定理
对有限偏序集 S 和其上的偏序 \preceq,我们有如下的一对对偶的定理:
Dilworth 定理:S 的宽度(最长反链长度)等于最小的链覆盖数。
证明:考虑数学归纳法。当 |S|\leq 3 时,命题显然成立。
假设命题对所有元素个数小于 |S| 的偏序集都成立,令 S 的宽度为 d. 若 |S| 中所有元素均不可比,则命题显然成立,否则在 S 中取一条长度大于 1 的链,令其中的最小元为 m,最大元为 M.
令 T=S\setminus\{m,M\},若 T 中的宽度不超过 d-1,则由归纳假设知 T 可被至多 d-1 条链覆盖,进而 S 可被这些链再加上链 \{m,M\} 覆盖,命题成立,否则说明 T 中的宽度也为 d,令 T 中最长的一条反链为 A.
我们考虑如下两个集合:
S^+:=\{x\in S:(\exists~a\in A)~~a\preceq x\}
S^-:=\{x\in S:(\exists~a\in A)~~x\preceq a\}
我们不难发现如下性质:
- S^+\cup S^-=S,
- S^+\cap S^-=A,
- |S^+|<|S|,|S^-|<|S|(因为 m\notin S^+ 且 M\notin S^-)。
对 S^+ 和 S^- 都应用归纳假设,则这两个集合的最小链覆盖数为 d,且这些链中恰好包含一个 A 中的元素 a,设这些链分别为 C_a^+,C_a^-,则 \{C_a^-\cup\{a\}\cup C_a^+\}_{a\in A} 是 S 的一个最小链覆盖,命题得证。
Mirsky 定理:S 的最长链长度等于最小的反链覆盖数。
证明:设 S 的最长链长度为 d,则由定义,最小反链覆盖数至少为 d.
令 f(s) 为以 s 为最小元的最长链长度,注意到若 f(s)=f(t),则 s 与 t 不可比,进而 (\forall~n\in\mathbf{N})~~f^{-1}(\{n\}) 均为反链,其中 f^{-1}(\{n\}):=\{a\in S:f(a)=n\} 称为 水平集(level set)。
因此不难得出 \{f^{-1}(\{i\}):1\leq i\leq d\} 是一个反链覆盖,从而最小反链覆盖数至多为 d.
Dilworth 定理与 Hall 婚配定理等价。我们可以用 Dilworth 定理证明如下定理:
Erdős–Szekeres 定理:含至少 rs+1 个元素的实数序列 \{a_i\} 要么有一个长为 r+1 的不下降子序列,要么有一个长为 s+1 的不上升子序列。
证明:设序列长度为 n\geq rs+1,定义偏序集 \{(i,a_i)\}_{i=1}^{n},其上的偏序 \preceq 定义为:
(i,a_i)\preceq (j,a_j)\iff (i\leq j\land a_i\leq a_j)
假设该偏序集的宽度不超过 s,则由 Dilworth 定理可知该偏序集可以被至多 s 条链覆盖,若这些链的长度都不超过 r,则序列所含元素数至多为 rs,与条件矛盾。
布尔代数
布尔代数和布尔函数
在数理逻辑中,布尔代数(boolean algebra)是代数的一个分支。初等代数中变量的值是数字,其研究的主要运算符有加法、乘法、乘方以及这三种运算的逆运算。而布尔代数中变量的值仅为 真 和 假 两种(通常记作 1 和 0),其研究的主要运算符有合取(与,\land)、析取(或,\lor)、否定(非,\lnot)。就像初等代数是描述数字运算的一种形式一样,布尔代数是描述逻辑运算的一种形式。
布尔函数(boolean function)指的是形如 f:\mathbf{B}^k\to \mathbf{B} 的函数,其中 \mathbf{B}=\{0,1\} 为 布尔域(boolean domain),非负整数 k 为该布尔函数的 元数(arity)。k=1 的布尔函数为一元函数,以此类推。k=0 时,我们认为函数退化为 \mathbf{B} 中的常量。
我们一般只研究一元和二元的布尔函数。如无特殊说明,下文的布尔函数仅限于一元和二元的情况。除了函数的一般表达方式外,我们还可以用 真值表(truth table)、逻辑门(logic gate)、Venn 图 来表示布尔函数。
n 元布尔函数也可以用含 n 个变量的 命题公式(propositional formula)表示,命题公式 p 与 q 逻辑等价(logically equivalent)当且仅当其描述的是同一个布尔函数,记作 p\iff q。
对一个布尔函数,我们枚举其输入的所有情况,并将输入和对应的输出列成一张表,这个表就叫做真值表。以下是一些常见布尔函数,我们也会把这些布尔函数统称为 逻辑运算符(logical connective)或 逻辑算子(logical operator):
| 名称(数理逻辑) | 其他名称 | 记号 |
|---|---|---|
| 恒真(truth、tautology) | \top | |
| 恒假(falsity、contradiction) | \bot | |
| 命题 | 自身 | A |
| 否定(negation) | 非(NOT) | \lnot A |
| 合取(conjunction) | 与(AND) | A \land B |
| 析取(disjunction) | 或(OR) | A \lor B |
| 非合取(non-conjunction) | 与非(NAND)、Sheffer 竖线 | A \bar{\land} B、A\uparrow B |
| 非析取(non-disjunction) | 或非(NOR) | A \bar{\lor} B、A\downarrow B |
| 异或(Exclusive-OR,XOR) | A \oplus B | |
| 同或(Exclusive-NOR) | A \odot B | |
| 实质蕴含(material implication)1 | A \to B | |
| 实质非蕴含(material nonimplication)2 | A \nrightarrow B | |
| 反蕴涵(converse implication)3 | A \gets B | |
| 非反蕴涵(converse nonimplication)4 | A \nleftarrow B | |
| 双条件(biconditional)、等价(equivalence)56 | A \leftrightarrow B | |
| 非等价(non-equivalence)78 | A \nleftrightarrow B |
我们把逻辑算子的组合称为 逻辑表达式(logical expression)。如果我们把 \mathbf{B} 视作模 2 的一个剩余类,此时异或等价于模 2 加法,与等价于模 2 乘法,所以有时我们也用 \mathbf{Z}_2 表示布尔域。
一元逻辑算子优先级高于二元逻辑算子,即 \lnot 的优先级高于 \land、\lor、\oplus 等的优先级。二元逻辑算子之间的优先级有多种规定,有的资料认为 \land、\lor、\oplus 的优先级比 \to、\gets、\leftrightarrow 更高,而有的资料持相反观点。所以在使用时推荐多加括号来明确顺序。
实际上,我们只用与非或者或非即可表达其余的逻辑算子,CPU 也是基于这一点构建的。但是,由于 与、或、非、异或 这四种逻辑算子的性质更好,所以我们在研究布尔代数时一般只使用这四种函数。我们能不能用指定的若干逻辑算子描述所有的逻辑算子?这便引出了完备算子集的定义。
对一个给定的逻辑算子集,如果能只用这个集合里的函数描述所有的逻辑算子,则称该集合为 完备算子集(functionally complete operator set)。特别地,如果只用一个逻辑算子即可描述所有的逻辑算子,则称该算子为 自足算子(sole sufficient operator)或 Sheffer 函数(Sheffer function)。
如果在一个完备算子集中删去任意一个元素,其都不能描述所有的逻辑算子,则称该集合为 极小完备算子集(minimal functionally complete operator set)。
可以证明逻辑算子中只有 \bar{\land}、\bar{\lor} 是自足算子。
以下为常见的极小完备算子集9:
- \{\bar{\land}\},\{\bar{\lor}\},
- \{\land,\lnot\},\{\lor,\lnot\},\{\gets,\lnot\},\{\to,\lnot\},\{\nleftarrow,\lnot\},\{\nrightarrow,\lnot\},
- \{\gets,\bot\},\{\to,\bot\},\{\nleftarrow,\top\},\{\nrightarrow,\top\},
- \{\gets,\nleftarrow\},\{\to,\nleftarrow\},\{\gets,\nrightarrow\},\{\to,\nrightarrow\},
- \{\gets,\nleftrightarrow\},\{\to,\nleftrightarrow\},\{\nleftarrow,\leftrightarrow\},\{\nrightarrow,\leftrightarrow\},
- \{\lor,\leftrightarrow,\bot\},\{\lor,\leftrightarrow,\nleftrightarrow\},\{\lor,\nleftrightarrow,\top\},
- \{\land,\leftrightarrow,\bot\},\{\land,\leftrightarrow,\nleftrightarrow\},\{\land,\nleftrightarrow,\top\}。
首先是代数结构的相关性质:
- 与、或均关于 \mathbf{B} 构成交换幺半群。即与运算和或运算均具有交换律、结合律和幺元(x\land 1=x\lor 0=x)。
- 异或、同或均关于 \mathbf{B} 构成群。即异或运算和同或运算均具有交换律、结合律、幺元(x\oplus 0=x\odot 1=x)和逆元(x\oplus x=0,x\odot x=1)。
- 与非、或非均不具有结合律,所以不构成半群。
对于 \land、\lor,我们有
- 分配律:
- a\land(b\diamond c)=(a\land b)\diamond (a\land c),其中 \diamond 可以为 \land、\lor、\oplus,
- a\lor(b\diamond c)=(a\lor b)\diamond (a\lor c),其中 \diamond 可以为 \land、\lor、\odot。
- 幂等(idempotence)律:x\land x=x、x\lor x=x。
- 单调性:a\to b\iff(a\land c)\to(b\land c)、a\to b\iff(a\lor c)\to(b\lor c)。
- 吸收(absorption)律:x\land(x\lor y)=x\lor(x\land y)=x。
- 与「\to」的关系:
- a \lor b \iff (\lnot a \to b) \land (\lnot b \to a),
- a \land b \iff \lnot((a \to \lnot b) \lor (b \to \lnot a))。
???+ abstract “布尔函数的单调性” 对一个布尔函数 f(x_1,\dots,x_n) 和 \mathbf{B}^n 中的两个元素 (a_1,\dots,a_n),(b_1,\dots,b_n),若当 a_i\leq b_i,~~\forall i=1,\dots,n 时恒有 f(a_1,\dots,a_n)\leq f(b_1,\dots,b_n),则称该布尔函数是单调的。
我们还有如下性质:
- 排中律(law of excluded middle):p\lor\lnot p 恒真。
- \lnot p\iff p\to\bot。
- 双重否定/\lnot 的 对合(involution)律:\lnot\lnot x=x。
- \oplus、\odot 的对合律:x\oplus y\oplus y=x、x\odot y\odot y=x。
- De Morgan 律:\lnot(p\land q)=\lnot p\lor \lnot q、\lnot(p\lor q)=\lnot p\land \lnot q。
逻辑表达式的标准化
根据上述性质,我们可以对逻辑表达式进行一定的等价变换,使其符合特定的范式,这一点可用于自动定理证明中。常见的标准化范式有 合取范式(conjunctive normal form,CNF)、析取范式(disjunctive normal form,DNF)和 代数范式(algebraic normal form,ANF)。
“合取范式与析取范式”我们做如下递归式的定义:
- 文字(literal):对变量 x,x 和 \lnot x 是文字。
- 子式:
- 文字是子式,
- 若 A 是文字、B 是子式,则 A\lor B 是子式。
- 合取范式:
- 若 A 是子式,则 (A) 是合取范式,
- 若 A 是子式、B 是合取范式,则 (A)\land B 是合取范式。
类似地,交换上面定义中的 \land 与 \lor 即可得到析取范式的定义。
例如以下逻辑表达式均为析取范式:
- (A\land\lnot B)\lor(C\land D\land\lnot E),
- (A\land B)\lor (C),
- (A\land B),
- (A)。
以下逻辑表达式均为合取范式:
- (\lnot A\lor\lnot B\lor C)\land(\lor D\lor\lnot E),
- (A\lor B)\land (C),
- (A\lor B),
- (A)。
以下逻辑表达式既不为合取范式也不为析取范式:
- \lnot(A\land B),
- A\land (B\lor (C\land D))。
我们可以通过如下的步骤将任意一个只含有 \lnot、\land、\lor 运算的逻辑表达式变形为 DNF:
\begin{array}{rcccl} \lnot\lnot x &&\mapsto&& x,\\ \lnot(x\lor y) &&\mapsto&& \lnot x\land \lnot y,\\ \lnot(x\land y) &&\mapsto&& \lnot x\lor \lnot y,\\ x\land(y\lor z) &&\mapsto&& (x\land y)\lor (x\land z),\\ (x\lor y)\land z &&\mapsto&& (x\land z)\lor (y\land z). \end{array}
要得到表达式 X 的 CNF,只需得到 \lnot X 的 DNF 后取反并应用 De Morgan 律即可。
“代数范式”首先,我们用如下递归式的定义来定义子式:
- 变量 x 是子式,
- 若 A 是子式,x 是变量,则 x\land A 是子式。
则满足如下三种形式之一的逻辑表达式为代数范式:
- 1、0,
- 若干不等价子式的异或,如 a\oplus b\oplus(a\land b)\oplus(a\land b\land c),
- 若干不等价子式与唯一的 1 的异或,如 1\oplus a\oplus b\oplus(a\land b)\oplus(a\land b\land c)。
注意到代数范式和 \mathbf{Z}_2 上的多项式一一对应,所以代数范式也被称为 Zhegalkin 多项式(Zhegalkin polynomial)。
我们可以通过如下的步骤将任意一个只含有 \lnot、\land、\lor、\oplus 运算的逻辑表达式变形为 ANF:
- \oplus:直接展开,如 (1\oplus x)\oplus(1\oplus x\oplus y)=1\oplus x\oplus 1\oplus x\oplus y=y,
- \land:用分配律展开,如 x\land(1\oplus x\oplus y)=(x\land 1)\oplus (x\land x)\oplus (x\land y)=x\oplus (x\land y),
- \lnot:将 \lnot x 用 1\oplus x 代替,如 \lnot(1\oplus x\oplus y)=1\oplus 1\oplus x\oplus y=x\oplus y,
- \lor:将 x\lor y 用 1\oplus((1\oplus x)\land(1\oplus y)) 或 x\oplus y\oplus (x\land y) 代替,如 (1\oplus x)\lor(1\oplus x\oplus y)=1\oplus((1\oplus 1\oplus x)\land(1\oplus 1\oplus x\oplus y))=1\oplus x\oplus(x\land y)。
线性规划基础
线性规划
- 约束条件:变量 x,y,\dots 满足的一组条件,上述二元一次不等式组就是对 x,y 的约束条件。
- 线性约束条件:由变量 x,y,\dots 的一次不等式 / 方程组成的不等式组就称为线性约束条件,如上述二元一次不等式。
- 目标函数:欲求最大值或最小值所涉及的变量 x,y,\dots 的解析式,如上述 z.
- 线性目标函数:目标函数关于变量 x,y,\dots 的一次解析式,如上述 z.
- 线性规划问题:在线性约束条件下求线性目标函数的问题。
- 可行解:满足线性约束条件的解 (x,y).
- 可行域:由所有可行解组成的集合。
- 最优解:使目标函数取得 \max 或 \min 的可行解。
\circ Ax + By
转为直线切凸包。
\circ x^2 + y^2
转为到原点距离。
\circ \frac{y-a}{x-b}
转为过一点斜率。
\circ 其余情况先变换为以上三种或其他几何意义。
例题 1
\begin{cases}5x-11y \geq -22 \\ 2x+3y \geq 9 \\ 2x \leq 11\end{cases}
$z = 10x + 10y, \max{z} = $ ?
画图,数形结合。
\begin{cases}5x-11y \geq -22 & \displaystyle \implies y \leq \frac{5}{11}x + \frac{1}{2} & \implies & \displaystyle y = \frac{5}{11}x + \frac{1}{2}\ 图像的下边 \\ 2x+3y \geq 9 & \displaystyle \implies y \geq -\frac{2}{3}x + 3 & \implies & \displaystyle y = -\frac{2}{3}x + 3\ 图像的上边 \\ 2x \leq 11 & \displaystyle \implies x \leq \frac{11}{2} & \implies & \displaystyle x=\frac{11}{2}\ 图像的左边 \end{cases}
在平面直角坐标系上画出对应的平面区域(可行域),再把目标函数 z=ax+by 变形为 \displaystyle y=-\frac{a}{b}x + \frac{z}{b},\\ 所以求 z 的最值可看成是求直线 \displaystyle y=-\frac{a}{b}x + \frac{z}{b} 在 y 轴上截距的最值。以这题为例,\displaystyle z=10x+10y \implies y= -x + \frac{z}{10} 容易证明,当 z=85 时 y 轴上截距取最值,所以 \max{z}=85.
仔细观察,可以发现最优解非常容易出现在可行域构成的多面体的顶点处。
例题 2
\begin{cases}y \geq x \\ x + y \leq 2 \\ x \geq a\end{cases}
$(2x+y){\mathrm{max}}=4(2x+y){\mathrm{min}},\ a= $ ?
求 (2x+y)_{\mathrm{min}}:x_{\min}=a \implies y_{\min}=a \implies (2x+y)_{\mathrm{min}}=3a
求 (2x+y)_{\mathrm{max}}:\begin{cases}x-y\leq 0 \\ x+y\leq 2\end{cases}\xRightarrow{\mathrm{Add\ }} x\leq 1\implies y\leq 1\implies (2x+y)_{\mathrm{max}}=3
\displaystyle 3=4\times 3a\implies a=\frac{1}{4}
例题 3(2024 九省联考 T14)
\begin{cases} 0<a<b<c<1 \\ b\geq 2a \ \ \ \mathrm{or}\ \ \ a+b\leq 1 \end{cases}
\max{\set{b-a,c-b,1-c}} 的最小值 = ?
注意到 c 的约束条件是最少的,首先考虑消去它,得到
\max{\set{b-a,c-b,1-c}}\geq\max{\set{b-a,\frac{1-b}{2}}}
当且仅当 \displaystyle c=\frac{1+b}{2} 取等,消去 c 后把 a 看作 x,把 b 看作 y 得:
\begin{cases}0<x \\ x<y \\ y<1 \\ y\geq 2x\ \ \ \mathrm{or}\ \ \ x+y\leq 1\end{cases}
作出可行域:\mathrm{and} 连接的区域之间取交,\mathrm{or} 连接的区域之间取并。阴影部分即为可行域。
图中 y\geq 2x\ \ \ x+y\leq 1 两条解析式用红色标出。
回到题目,要求 \displaystyle M=\max{\set{y-x,\frac{1-y}{2}}},我们需要知道何时 M=y-x,何时 \displaystyle M=\frac{1-y}{2}.
直接列方程 \displaystyle y-x=\frac{1-y}{2} 可以得到 \displaystyle y=\frac{2}{3}x+\frac{1}{3},在图中作出这条直线,得到:
因为最终要求的是 M 的最小值,所以对蓝色区域而言,y 尽量小,x 尽量大,根据例题 1 的经验,这样的极值点通常出现在多边形的顶点处,经过比较后 P 点是极值点,此时 M=0.2. 对绿色区域而言,只需满足 y 尽量大,显然,P 点也是极值点。
综上所述,\max{\set{b-a,c-b,1-c}} 的最小值 \displaystyle=\frac{1}{5}.
https://oi-wiki.org/math/linear-programming/#%E5%BC%95%E5%85%A5
博弈论
组合游戏
定义如下:
有两个参与者(称为游戏者);
游戏规则规定了玩家可以做出的决策集合(通常是有限的);
游戏者轮流决策,决策时双方均知道游戏的完整信息;
当游戏者无法做出决策时,游戏结束;
游戏总有一个有限的结局,若不存在,则称为平局(Draw)。
注意我们还有一些更严格的定义,
游戏不允许存在任何随机运动,例如掷骰子或发牌(针对扑克等);
游戏不允许任何同时决策或隐藏移动(针对剪刀石头布等);
游戏不允许在有限决策中存在平局(这排除了井字棋)。
公平组合游戏
双方在某一确定状态可以做出的决策集合只与当前状态无关,与游戏者无关。
也可以表述为,在任意状态,双方可以做出的决策集合是相同的。
非公平组合游戏
游戏者在某一状态可以做出的决策集合与游戏者有关。
例如围棋、国际象棋等,因为双方均不能使用对方的棋子。
反常游戏
一般来说,游戏为最后一个决策者获胜。
反常游戏指的是,最后无法决策的一方获胜。
反常游戏的规则被称为反常规则(Misère Play Rule)。
P/N-Position
此处仅考虑非反常游戏,定义,
P-Position:上一位玩家必胜(Previous player);
N-Position:下一位玩家必胜(Next player)。
注意我们所谓上下,指的是当前局面(the player who just moved)。
我们再看一个英文定义,
P-position: The Previous player has a winning strategy
N-position: The Next player has a winning strategy.
容易发现,上文所谓必胜,其实指的是存在有一个使其获胜的策略。
按照一般中文环境的术语就是,
我们称一游戏者的 N 状态为她决策前的局面为她的必胜状态(她马上就要决策);
我们称一游戏者的 P 状态为她决策前的局面为她的必败状态(决策点已经转移)。
由此,可以引出先手必胜和先手必败的定义。
特殊的,我们称最后无法进行任何决策的状态为 T-Position(Terminal Position),
每一个 T-Position 都是 P-Position;
每一个 N-Position 都有至少一种决策转移到 P-Position;
每一个 P-Position 都只能转移到 N-Position。
反过来也可以作为判定,
可以转移到 P-Position 的都是 N-Position;
所有转移都为 N-Position 才是 P-Position。
我们可以总结一个判断所有状态 N/P 的方法:
直接定义 T-Position 为 P-Position;
每一个可以转移到 P-Position 的都定义为 N-Position;
当且仅当一个状态的每一个转移都为 N-Position,我们定义它为 P-Position。
TO BE DONE
https://web.mit.edu/sp.268/www/nim.pdf
https://www.cs.cmu.edu/afs/cs/academic/class/15859-s05/www/ferguson/comb.pdf
http://www.maths.liv.ac.uk/~mathsclub/talks/20220226/talk1/NIM.pdf
https://assets.hkoi.org/training2021/game-theory.pdf
https://www.luogu.com.cn/article/nhpwudt7
https://oi-wiki.org/math/game-theory/impartial-game/
用于命题推导时应使用双横长箭头,如 A\implies B、A\impliedby B、A\iff B 等。↩︎
用于命题推导时应使用双横长箭头,如 A\implies B、A\impliedby B、A\iff B 等。↩︎
用于命题推导时应使用双横长箭头,如 A\implies B、A\impliedby B、A\iff B 等。↩︎
用于命题推导时应使用双横长箭头,如 A\implies B、A\impliedby B、A\iff B 等。↩︎
用于命题推导时应使用双横长箭头,如 A\implies B、A\impliedby B、A\iff B 等。↩︎
等价于同或。↩︎
用于命题推导时应使用双横长箭头,如 A\implies B、A\impliedby B、A\iff B 等。↩︎
等价于异或。↩︎
Vaughan, H. E. (1942). Complete sets of logical functions.Transactions of the American Mathematical Society 51: 117–32.↩︎


